Главная → Детские головоломки → Головоломки для школьников → 200 занимательных задач → Соедините точки, не отрывая карандаша
Занимательные задачи
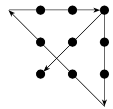
Задача 79. Соедините точки, не отрывая карандаша
Как соединить 9 точек между собой 4 прямыми линиями, не отрывая карандаша от бумаги?

ОТВЕТ
Ваши комментарии:
2018-07-11 12:02:17 | |
Все точки можно соединить и ТРЕМЯ прямыми линиями не отрывая карандаша от бумаги... Зигзагом [ N ], только точки разворота будут ВНЕ листа ... ) | |












