Занимательные задачи
Задача 8. Который час?
Петр и Иван живут в одном городе недалеко друг от друга. У каждого из них есть только настенные часы, которые находятся у них дома. Однажды Петр забыл завести свои часы, и они остановились. Он пошел в гости к Ивану, чтобы посмотреть, который час, пробыл там некоторое время и, вернувшись домой, правильно поставил свои настенные часы. Как он это сделал?
ОТВЕТ
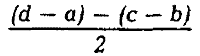
Петр завел свои часы и перед уходом запомнил их показание, которое, допустим, равно а. Придя к знакомому, он немедленно узнал у него время, которое равно b. Перед уходом он опять запомнил время по часам знакомого, которое на этот раз было с. Придя домой, Петр заметил, что его часы показывают d. Разность (d — а) — это время его отсутствия дома. Разность (с — b) — это время, проведенное им в гостях. Разность первого и второго времени (d — а) — (с — b) — это время, потраченное на дорогу. Половина этого времени

была потрачена на обратную дорогу. Когда Петр уходил домой, часы его знакомого, как уже говорилось, показывали с. Если прибавить время, потраченное на обратную дорогу, к времени ухода домой, т.е. к с, то получится точное показание часов Петра при его возвращении домой:
Понравилось? Расскажи об этой странице друзьям!